| Analysis and design tutorials | Analysis and design assignments | Prototypes | Exam 1 | Exam 2 | Questions and assessment |
CSD EXA1: midterm exam examples and solution ideas |
Problem 1
1.— Plans and ideas for solving the exam. Complete your solutions in paper as when writing laboratory reports, find similar problems to compare and discuss your results with your classmates or your instructors.

2.— , 3.— , 4.—

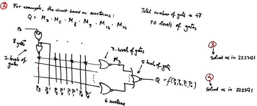
Problem 2
Note: for clarity to represent and operate integers (N = 1) in binary, you must circle the sign bit in a square with a different pen colour, as shown in these example operations.


Problem 3
1.— as in P1 Circuit_Q tutorial.
2.— as in 2223Q1 (question 13).
3.— as in 2223Q1 (Question 16).